DIMENSIONNEMENT DES CONDUITS D'EAUX USÉES ET VANNES
Le dimensionnement des tuyaux dans les réseaux d’évacuation des eaux usées et vannes est essentiel pour garantir leur efficacité et prévenir les problèmes tels que les obstructions, les fuites ou les mauvaises odeurs. Que ce soit dans un bâtiment résidentiel ou un environnement industriel, un mauvais choix de la taille des tuyaux peut entraîner des complications sérieuses. Cet article vous guidera sur la manière de dimensionner correctement les tuyaux pour un réseau d’évacuation des eaux usées.
Pour commencer, le premier élément à prendre en compte est le débit d’évacuation, qui représente la quantité d’eau à évacuer. Le débit dépend de plusieurs facteurs, notamment du type de bâtiment (résidentiel, commercial, ou industriel), du nombre d’utilisateurs, et des appareils sanitaires installés, tels que les toilettes, lavabos, douches, et machines à laver. Chaque appareil a un débit d’eau moyen qu’il faut calculer pour obtenir le débit total du réseau. Par exemple, un lavabo consomme environ 0,2 à 0,3 l/s, une douche de 0,5 à 0,7 l/s, et une toilette entre 0,4 et 0,6 l/s. Une fois ces débits unitaires estimés, vous pourrez additionner les valeurs pour obtenir le débit total à évacuer.
Le choix du matériau des tuyaux est également un facteur clé dans le dimensionnement. Les matériaux couramment utilisés sont le PVC, qui est léger, résistant à la corrosion et facile à installer, ce qui le rend idéal pour les réseaux domestiques, ainsi que la fonte ductile, plus robuste, adaptée aux réseaux d’assainissement urbains ou industriels. Le polyéthylène (PE) est aussi un choix flexible et résistant, particulièrement utile pour les installations enterrées. Le matériau choisi doit être capable de résister à la pression et à la température des eaux usées tout en étant durable.
Un autre facteur déterminant dans le dimensionnement est la vitesse d’écoulement de l’eau dans les tuyaux. Cette vitesse doit être suffisante pour éviter la formation de dépôts et garantir une évacuation fluide des eaux usées. Idéalement, la vitesse d’écoulement doit se situer entre 0,7 m/s et 3 m/s. Une vitesse trop lente risque d’entraîner des bouchons, tandis qu’une vitesse trop élevée pourrait provoquer des nuisances sonores et accélérer l’usure des tuyaux. Il est donc crucial de choisir un diamètre de tuyau qui permette d’atteindre cette plage de vitesse optimale en fonction du débit prévu.
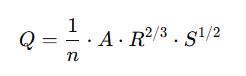
Une fois que vous avez estimé le débit et la vitesse d’écoulement, il est temps de calculer le diamètre des tuyaux. Le calcul de ce diamètre permet de s’assurer que l’eau s’écoulera à la bonne vitesse, sans risques d’obstruction ni de bruit excessif. Pour cela, la formule de Manning est souvent utilisée pour déterminer la taille du tuyau en fonction du débit, de la rugosité du matériau et de la pente du réseau. La formule générale est la suivante :
Où Q est le débit (m³/s), n est le coefficient de rugosité du tuyau, AAA est l’aire de la section transversale du tuyau (m²), RRR est le rayon hydraulique (m), et SSS est la pente du tuyau (m/m). Cette formule permet de dimensionner les tuyaux de manière à obtenir un écoulement optimal.
En parlant de pente, il est important de prendre en compte l’inclinaison du réseau. Une pente trop faible pourrait ralentir l’écoulement de l’eau, entraînant des risques de bouchons. En revanche, une pente trop raide pourrait provoquer une vitesse excessive et des phénomènes de bruit. En général, une pente minimale de 1% (1 cm de dénivelé par mètre de tuyau) est recommandée pour garantir un bon écoulement.
Un autre point à ne pas négliger lors du dimensionnement des tuyaux est la présence de coudes, raccords et autres accessoires. Ces éléments ajoutent des pertes de charge supplémentaires, ralentissant l’écoulement de l’eau. Il est donc essentiel de prendre en compte ces résistances et de les intégrer dans le calcul du diamètre des tuyaux ou du débit nécessaire pour compenser ces pertes.
Enfin, une fois le réseau installé, il est important de réaliser des tests de conformité afin de vérifier qu’il n’y a pas de fuites et que l’écoulement se fait correctement. Ces tests permettent aussi de détecter d’éventuels défauts d’installation ou de matériaux. Un entretien régulier du réseau est également indispensable pour garantir sa longévité. Cela inclut la vérification périodique de l’état des tuyaux, le nettoyage des siphons et la détection de tout bouchon éventuel.
En résumé, le dimensionnement des tuyaux pour les réseaux d’évacuation des eaux usées et vannes est une étape essentielle pour garantir une installation fonctionnelle et durable. En prenant en compte des éléments comme le débit, le matériau des tuyaux, la vitesse d’écoulement, la pente et les accessoires, vous pouvez dimensionner correctement votre réseau pour éviter tout problème à long terme. Si vous avez des doutes ou un projet complexe, il est toujours préférable de faire appel à un professionnel qualifié qui pourra s’assurer de la conformité de votre installation.
Rédaction : Cédrick ADON
Publication : Cédrick ADON

AGNISSAN
ce thème allie la théorie de l'hydraulique à la pratique de la sélection des équipements d’assainissement . C'est un sujet fondamental pour garantir l'efficacité, la durabilité et la sécurité d'un système de gestion des eaux usées. Je ne pouvais pas ne pas vous dire à quel point j'admire votre travail. Vos articles pour nous jeunes du BTP sont bien plus que de la simple théorie ; on sent votre passion et votre envie de transmettre. Merci de prendre le temps de partager votre savoir de manière aussi innovante et accessible. Vous faites une réelle différence.
Alck
bien noté